RC與RL充放電時間常數
RC充放電時間常數
串聯RC電路的時間常數是一個固定的時間間隔,等于電阻和電容的乘積。其公式為:

式中,τ為RC充放電時間常數,單位是S;R為電阻,單位是Ω;C為電容,單位是F。
RL充放電時間常數
串聯RL電路的時間常數是一個固定的時間間隔,等于電感對電阻的比值。其公式為:

式中,τ為RL充放電時間常數,單位是S;L為電感,單位是H;R為電阻,單位是Ω。
RC與RL充放電通用公式
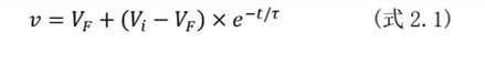
RC與RL充放電瞬時電壓通用公式

式中,v是電容器或電感器電壓在某個時間的瞬時值,單位是V;VF是電容器或電感器電壓終值,單位是V;Vi是電容器或電感器電壓的初始值,單位是V;e是自然對數的底,t為充放電時間,單位s;τ為電容器或電感器充放電時間常數,單位是s。
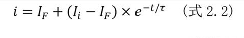
RC與RL充放電瞬時電流通用公式

式中,i是電容器或電感器電流在某個時間t的瞬時值,單位是A;IF是電容器或電感器電流終值,單位是A;Ii是電容器或電感器電流的初始值,單位是A;e是自然對數的底,t為充放電時間,單位s;τ為電容器或電感器充放電時間常數,單位是s。
計算RC充電與放電時間

圖1-1 RC充放電電路
例: 圖1-1是RC充電與放電電路,請按要求計算下列各題:
【1】 RC充電時間常數和RC放電時間常數分別等于多少?
解:由于充電與放電回路為同一個電容器,并且充電電阻和放電電阻的阻值相同,所以τ充等于τ放,根據RC充放電時間常數公式得:
τ充=τ放 = RC = 1kΩ.1mF = 1S。
答:RC充電時間常數和放電時間常數相等,均為τ=1S。
【2】向左按下S2鍵給C2兩端充滿6.3V電壓時,需要多長時間?
解:從題意知,向左按下S2, C2的初始電壓Vi = 0V,終值電壓VF=10V,充電t時間后的瞬時電壓v=6.3V,又知第一題求得τ充 = 1S,求充電時間t。將上述已知量代入RC充放電電壓通用公式,可得:

求得t≈2S。
答:把C2兩端從6.3V電壓放到0.88V時,需要2S時間。
〈烜芯微/XXW〉專業制造二極管,三極管,MOS管,橋堆等,20年,工廠直銷省20%,上萬家電路電器生產企業選用,專業的工程師幫您穩定好每一批產品,如果您有遇到什么需要幫助解決的,可以直接聯系下方的聯系號碼或加QQ/微信,由我們的銷售經理給您精準的報價以及產品介紹
聯系號碼:18923864027(同微信)
QQ:709211280

