圖9.24示出一例用CMOS構成AB級輸出電路的辦法。輸出晶體管M,和Mz兩個柵極間并聯銜接著n溝MOS晶體管M3和p溝MOS晶體管M4,加偏置電流Ibias并使ID3+ID4=Ibias。而且,M3和M4的柵極分別加偏置電壓Vbias1和Vbias2。假如輸入電壓Vin降落,那么M3的柵極—源極間電壓VGS3增加,流過M3的電流ID3增加。這時,由于ID4=Ibias-ID3,所以流過M4的電流ID4減少。其結果VSG4減小,A點的電位降低了。


當輸入電壓Vi。上升時,M3的柵極—源極間電壓VGS3減小,流過M3的電流減小。由此,流過M4的電流ID4增加。其結果VSG4增加,A點的電位上升了。
圖9. 25示出包含了Vbias1和Vbias2的偏置電路在內的AB級輸出電路。


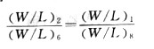
如今假定M3、M5晶體管的尺寸分別與M4和M7的晶體管尺寸相等,剖析在Iout=0的穩定狀態下流過各途徑的電流。假如流過M3和M4的電流相等,那么各自流過Ibias。由于當(W/L)3=(W/L)5時流過M3和Ms 的電流相等,所以VGS3=VGS5。其結果,Vin=VB。由于M2和M6的柵極—源極間電壓變得相等,所以有


同樣地,由于當(W/L)4=(W/L),時流過M4和M7的電流相等,所以VGS4=VGS7。其結果,VA=VC。由于M1和M8的柵極—源極間電壓變得相等,所以有


由于假定Jout=0,所以Ipull=Ipush=Iq。由式(9.22)、式(9.23),晶體管的尺寸就設定為

烜芯微專業制造二三極管,MOS管,20年,工廠直銷省20%,1500家電路電器生產企業選用,專業的工程師幫您穩定好每一批產品,如果您有遇到什么需要幫助解決的,可以點擊右邊的工程師,或者點擊銷售經理給您精準的報價以及產品介紹

烜芯微專業制造二三極管,MOS管,20年,工廠直銷省20%,1500家電路電器生產企業選用,專業的工程師幫您穩定好每一批產品,如果您有遇到什么需要幫助解決的,可以點擊右邊的工程師,或者點擊銷售經理給您精準的報價以及產品介紹

